본문 바로가기

Algorithm/Leet Code

LeetCode #141 LinkedListCycle. Algorithm,알고리즘,LeetCode,Codefights,CodeSignal,코드파이트,코드시그널,예제,문제해결능력,example,c++,java,재귀,recursive,datastructure,techinterview,coding,코딩인터뷰,기술면접,연결리스..

LeetCode #141 LinkedListCycle. Algorithm,알고리즘,LeetCode,Codefights,CodeSignal,코드파이트,코드시그널,예제,문제해결능력,example,c++,java,재귀,recursive,datastructure,techinterview,coding,코딩인터뷰,기술면접,연결리스트

 

 

 퍼포먼스 최최최상

 

Perfekto performance

 

 

LeetCode #141

Q.

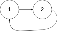
 Given a linked list, determine if it has a cycle in it.

To represent a cycle in the given linked list, we use an integer pos which represents the position (0-indexed) in the linked list where tail connects to. If pos is -1, then there is no cycle in the linked list.

 

주어진 연결리스트에서, 순환이 있는지 확인해라

주어진 연결리스트 안의 순환을 나타내기위해, tail 부분에서 연결된 포지션을 정수로 나타내는 것을 사용한다. 만약 포지션이 -1 이면, 연결리스트에 순환부가 없는 것이다. (pos 포지션은 페이크고, 그냥 bool 순환여부 확인하면됨)

 

조건으로, 시간복잡도 O(1) 로 풀어봐라

 

 

e.g. 

 

Example 1:

Input: head = [3,2,0,-4], pos = 1 

Output: true

 

Explanation: There is a cycle in the linked list, where tail connects to the second node.

 

Example 2:

Input: head = [1,2], pos = 0

Output: true

 

Explanation: There is a cycle in the linked list, where tail connects to the first node.

 

Example 3:

Input: head = [1], pos = -1

Output: false

 

Explanation: There is no cycle in the linked list.

 

 

Follow up:

Can you solve it using O(1) (i.e. constant) memory?

 

 

 

Process

// Process 
//1. Input head node pointer

//2. Check if head is null or not

// 2.1. If not -> Iterate till node->next is not null

//  2.1.1. Check if it's pointing itself

//   2.1.1.1. If so -> it's cycle

//  2.1.2. Move to next node

//  2.1.3. Make previousBuff node point itself

//3. Return result cycle boolean

 

 

// 처리과정

//1. 헤드노드 포인터 입력받는다.

//2. 입력받은 포인터가 null 인지 확인해서

// 2.1. null이 아니면 -> 노드의 next 가 null 이 아닐때까지 반복한다.

//  2.1.1. 해당 순번 노드의 next 가 본인을 가리키는지 확인한다.

//   2.1.1.1. 맞다면 -> 사이클 존재한다.

//  2.1.2. 다음 노드로 넘어간다.

//  2.1.3. 이전의 노드 next 값을 본인을 가리키도록 바꿔놓는다.

//3. 사이클 유무 결과 반환한다.

 

 

Code.. lemme see example code!!!

코드.. 예제코드를 보자!!!

 

 

 

class Solution {
public:
	bool hasCycle(ListNode *head) {
		bool result = false;

		if (head != 0) {
			if (head->next == head)
				result = true;

			while (head->next != 0 && !result) {
				if (head->next == head) {
					result = true;
				}
				else
				{
					ListNode *tempNode = head;
					head = head->next;
					tempNode->next = tempNode;
				}
			}
		}
		return result;
	}
};

 

 

 

Something else you might like...?

 

 

2019/04/28 - [Algorithm/Leet Code] - LeetCode #121 BestTimeToBuyAndSellStock. Algorithm,알고리즘,LeetCode,Codefights,CodeSignal,코드파이트,코드시그널,예제,문제해결능력,example,c++,java,재귀,recursive,datastructure,techinterview,coding,코딩인터뷰,기술면접

2019/04/24 - [Algorithm/Leet Code] - LeetCode #119 Pascal'sTriangle2. Algorithm,알고리즘,LeetCode,Codefights,CodeSignal,코드파이트,코드시그널,예제,문제해결능력,example,c++,java,재귀,recursive,datastructure,techinterview,coding,코딩인터뷰,기술면접, 파스칼..

2019/04/24 - [Algorithm/Leet Code] - LeetCode #104 MaximumDepthOfBinaryTree. Algorithm,알고리즘,LeetCode,Codefights,CodeSignal,코드파이트,코드시그널,예제,문제해결능력,example,c++,java,재귀,recursive,datastructure,techinterview,coding,코딩인터뷰,기술면접

2019/04/22 - [Algorithm/Leet Code] - LeetCode #118 Pascal'sTriangle. Algorithm,알고리즘,LeetCode,Codefights,CodeSignal,코드파이트,코드시그널,예제,문제해결능력,example,c++,java,재귀,recursive,datastructure,techinterview,coding,코딩인터뷰,기술면접

2019/04/17 - [Algorithm/Leet Code] - LeetCode #88 MergeSortedAray. Algorithm,알고리즘,LeetCode,Codefights,CodeSignal,코드파이트,코드시그널,예제,문제해결능력,example,c++,java,재귀,recursive,datastructure,techinterview,coding,코딩인터뷰,기술면접

2019/04/17 - [Algorithm/Leet Code] - LeetCode #021 MergeTwoSortedLists. Algorithm,알고리즘,LeetCode,Codefights,CodeSignal,코드파이트,코드시그널,예제,문제해결능력,example,c++,java,재귀,recursive,datastructure,techinterview,coding,코딩인터뷰,기술면접

 

 

2019/04/14 - [Programming/C++] - C++ Math - sqrt (square root, 제곱근, 루트). stl, math.h, 씨쁠쁠, example code, 예제코드

 

 

2018/10/19 - [Programming/Design Pattern ] - Design pattern - Prototype (디자인패턴 - 프로토타입) / Java C++ C#

 

 

2019/01/12 - [Algorithm/Code Fights (Code Signal)] - Aracade Intro #60 sudoku. Algorithm,알고리즘,Codefights,CodeSignal,코드파이트,코드시그널,예제,문제해결능력,example,c++,java,재귀,recursive

2019/01/12 - [Algorithm/Code Fights (Code Signal)] - Aracade Intro #59 spiralNumbers. Algorithm,알고리즘,Codefights,CodeSignal,코드파이트,코드시그널,예제,문제해결능력,example,c++,java,재귀,recursive

2019/01/08 - [Algorithm/Code Fights (Code Signal)] - Aracade Intro #58 messageFromBinaryCode. Algorithm,알고리즘,Codefights,CodeSignal,코드파이트,코드시그널,예제,문제해결능력,example,c++,java,재귀,recursive

2019/01/07 - [Algorithm/Code Fights (Code Signal)] - Aracade Intro #57 fileNaming. Algorithm,알고리즘,Codefights,CodeSignal,코드파이트,코드시그널,예제,문제해결능력,example,c++,java,재귀,recursive

2019/01/04 - [Algorithm/Code Fights (Code Signal)] - Aracade Intro #56 digitsProduct. Algorithm, 알고리즘, Codefights, CodeSignal, 코드파이트, 코드시그널, 예제,문제해결능력,example, c++ java c# scalar

2019/01/04 - [Algorithm/Code Fights (Code Signal)] - Aracade Intro #55 differentSquares. Algorithm, 알고리즘, Codefights, CodeSignal, 코드파이트, 코드시그널, 예제,문제해결능력,example, c++ java c# scalar

 

 

2018/12/28 - [Programming/Software Architecture] - Perfecting OO's Small Classes and Short Methods. 완벽한 객체지향의 작은 클래스와 짧은 메소드, Book:ThoughtWorks Anthology, Java,cpp,자바,oop,좋은코드,객체지향프로그래밍 - (#9, Tell, Don't Ask)

2018/12/26 - [Programming/Software Architecture] - Perfecting OO's Small Classes and Short Methods. 완벽한 객체지향의 작은 클래스와 짧은 메소드, Book:ThoughtWorks Anthology, Java,cpp,자바,oop,좋은코드,객체지향프로그래밍 (1)

 

 

2019/01/14 - [Programming/Java] - 자바 메모리 누수 체크/확인/고치는 방법, Memory leak check/fix in Java application, cleanCode/좋은코드/oop/객체지향

 

 

2019/02/19 - [Life/Health care] - Lysine 라이신 usage/side effects/dosage 효과/효능/부작용/성인,소아 용법, 복용법

2019/02/16 - [Life/Health care] - Finasteride 피나스테라이드,탈모약 usage/side effects/dosage 효능/부작용/효과/sexual effect/두타스테라이드/프로페시아/propecia/finpecia/카피약/copy drug/hair loss

2019/02/25 - [Life/Health care] - Folic Acid 엽산 vitaminB9,비타민M usage/side effects/dosage 효과/효능/부작용/성인,소아 용법, 복용법

2019/02/28 - [Life/Health care] - Vitamin K, 비타민 K usage/side effects/dosage 효능/부작용/성인,소아 용법

2019/03/03 - [Life/Health care] - Vitamin B1, Thiamine, 비타민 B1, 티아민 usage/side effects/dosage 효능/부작용/성인,소아 용법