Algorithm/Leet Code

LeetCode #589 N-aryTreePreorderTraversal. Algorithm,알고리즘,LeetCode,Codefights,CodeSignal,코드파이트,코드시그널,예제,문제해결능력,example,c++,java,재귀,recursive,datastructure,techinterview,coding,코딩인터뷰,기술면접,..

Ginjoe 2019. 7. 20. 10:41

LeetCode #589 N-aryTreePreorderTraversal. Algorithm,알고리즘,LeetCode,Codefights,CodeSignal,코드파이트,코드시그널,예제,문제해결능력,example,c++,java,재귀,recursive,datastructure,techinterview,coding,코딩인터뷰,기술면접,연결리스트

 

 

Runtime: 152 ms, faster than 69.24% of C++ online submissions for N-ary Tree Preorder Traversal.

 

Memory Usage: 32.4 MB, less than 82.67% of C++ online submissions for N-ary Tree Preorder 

 

 

Should think about iterate solving

 

LeetCode #705

Q.

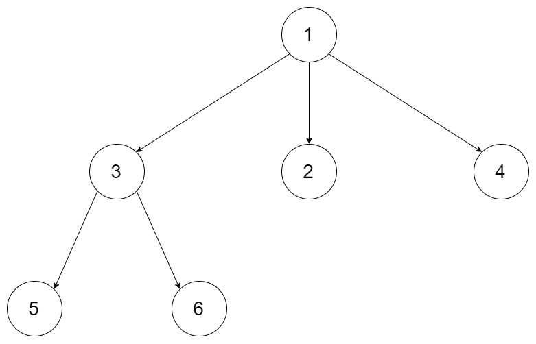
 Given an n-ary tree, return the preorder traversal of its nodes' values.

For example, given a 3-ary tree:

 

 N-진 트리에서, 전위수식으로 순회해서 값을 읽어봐라

예를들면, 3진트리는 아래와 같다:

 

 

Return its preorder traversal as: [1,3,5,6,2,4].

 

 

Note:

Recursive solution is trivial, could you do it iteratively?

 

노트:

 재귀는 진부하고, 반복문으로 풀어봐라?

풀고나서 문제 옮겨적다가 봄..

 

 

//preorder means 전위수식 *12 

// Process
//1. Input root node pointer
//2. Make returnVector
//3. Put val in the returnVector
//4. Iterate from begin to the end of children (*Node)
// 4.1. Call recursivePreorder method
//5. Return returnVector

// recursivePreorder
//1. Input returnVector
//2. Put val in the returnVector
//3. Iterate from begin to the end (*Node)
// 3.1. Call recursiveVector

 

 

// 처리과정

//1. 루트노드 입력받는다.

//2. 결과벡터 만들어둔다.

//3. 노드값 벡터에 넣는다.

//4. 노드 안의 벡터 전체 반복한다.

// 4.1. 재귀함수 콜한다.

//5. 채워진 결과벡터 반환한다.

 

// resursivePreorder (재귀함수)

//1. 노드와 리턴벡터 입력받는다.

//2. 노드값 벡터에 넣는다.

//3. 노드 안의 벡터 전체 반복한다.

// 3.1. 재귀함수 콜한다.

 

Code.. lemme see example code!!!

코드.. 예제코드를 보자!!!

 

 

 

class Solution {
public:
    vector<int> preorder(Node* root) {
        vector<int> returnVector;
        
        if (root != 0) {
            returnVector.push_back(root->val);
            for (int i = 0; i < root->children.size(); ++i) {
                recursivePreorder(root->children[i], returnVector);
            }
        }
        
        return returnVector;
    }
    
private:
    void recursivePreorder(Node* node, vector<int>& returnVector) {
        returnVector.push_back(node->val);
        for (int i = 0; i < node->children.size(); ++i) {
            recursivePreorder(node->children[i], returnVector);
        }
    }
};

 

 

 

Something else you might like...?

 

 

2019/04/28 - [Algorithm/Leet Code] - LeetCode #121 BestTimeToBuyAndSellStock. Algorithm,알고리즘,LeetCode,Codefights,CodeSignal,코드파이트,코드시그널,예제,문제해결능력,example,c++,java,재귀,recursive,datastructure,techinterview,coding,코딩인터뷰,기술면접

2019/04/24 - [Algorithm/Leet Code] - LeetCode #119 Pascal'sTriangle2. Algorithm,알고리즘,LeetCode,Codefights,CodeSignal,코드파이트,코드시그널,예제,문제해결능력,example,c++,java,재귀,recursive,datastructure,techinterview,coding,코딩인터뷰,기술면접, 파스칼..

2019/04/24 - [Algorithm/Leet Code] - LeetCode #104 MaximumDepthOfBinaryTree. Algorithm,알고리즘,LeetCode,Codefights,CodeSignal,코드파이트,코드시그널,예제,문제해결능력,example,c++,java,재귀,recursive,datastructure,techinterview,coding,코딩인터뷰,기술면접

2019/04/22 - [Algorithm/Leet Code] - LeetCode #118 Pascal'sTriangle. Algorithm,알고리즘,LeetCode,Codefights,CodeSignal,코드파이트,코드시그널,예제,문제해결능력,example,c++,java,재귀,recursive,datastructure,techinterview,coding,코딩인터뷰,기술면접

2019/04/17 - [Algorithm/Leet Code] - LeetCode #88 MergeSortedAray. Algorithm,알고리즘,LeetCode,Codefights,CodeSignal,코드파이트,코드시그널,예제,문제해결능력,example,c++,java,재귀,recursive,datastructure,techinterview,coding,코딩인터뷰,기술면접

2019/04/17 - [Algorithm/Leet Code] - LeetCode #021 MergeTwoSortedLists. Algorithm,알고리즘,LeetCode,Codefights,CodeSignal,코드파이트,코드시그널,예제,문제해결능력,example,c++,java,재귀,recursive,datastructure,techinterview,coding,코딩인터뷰,기술면접

 

 

2019/04/14 - [Programming/C++] - C++ Math - sqrt (square root, 제곱근, 루트). stl, math.h, 씨쁠쁠, example code, 예제코드

 

 

2018/10/19 - [Programming/Design Pattern ] - Design pattern - Prototype (디자인패턴 - 프로토타입) / Java C++ C#

 

 

2019/01/12 - [Algorithm/Code Fights (Code Signal)] - Aracade Intro #60 sudoku. Algorithm,알고리즘,Codefights,CodeSignal,코드파이트,코드시그널,예제,문제해결능력,example,c++,java,재귀,recursive

2019/01/12 - [Algorithm/Code Fights (Code Signal)] - Aracade Intro #59 spiralNumbers. Algorithm,알고리즘,Codefights,CodeSignal,코드파이트,코드시그널,예제,문제해결능력,example,c++,java,재귀,recursive

2019/01/08 - [Algorithm/Code Fights (Code Signal)] - Aracade Intro #58 messageFromBinaryCode. Algorithm,알고리즘,Codefights,CodeSignal,코드파이트,코드시그널,예제,문제해결능력,example,c++,java,재귀,recursive

2019/01/07 - [Algorithm/Code Fights (Code Signal)] - Aracade Intro #57 fileNaming. Algorithm,알고리즘,Codefights,CodeSignal,코드파이트,코드시그널,예제,문제해결능력,example,c++,java,재귀,recursive

2019/01/04 - [Algorithm/Code Fights (Code Signal)] - Aracade Intro #56 digitsProduct. Algorithm, 알고리즘, Codefights, CodeSignal, 코드파이트, 코드시그널, 예제,문제해결능력,example, c++ java c# scalar

2019/01/04 - [Algorithm/Code Fights (Code Signal)] - Aracade Intro #55 differentSquares. Algorithm, 알고리즘, Codefights, CodeSignal, 코드파이트, 코드시그널, 예제,문제해결능력,example, c++ java c# scalar

 

 

2018/12/28 - [Programming/Software Architecture] - Perfecting OO's Small Classes and Short Methods. 완벽한 객체지향의 작은 클래스와 짧은 메소드, Book:ThoughtWorks Anthology, Java,cpp,자바,oop,좋은코드,객체지향프로그래밍 - (#9, Tell, Don't Ask)

2018/12/26 - [Programming/Software Architecture] - Perfecting OO's Small Classes and Short Methods. 완벽한 객체지향의 작은 클래스와 짧은 메소드, Book:ThoughtWorks Anthology, Java,cpp,자바,oop,좋은코드,객체지향프로그래밍 (1)

 

 

2019/01/14 - [Programming/Java] - 자바 메모리 누수 체크/확인/고치는 방법, Memory leak check/fix in Java application, cleanCode/좋은코드/oop/객체지향

 

 

2019/02/19 - [Life/Health care] - Lysine 라이신 usage/side effects/dosage 효과/효능/부작용/성인,소아 용법, 복용법

2019/02/16 - [Life/Health care] - Finasteride 피나스테라이드,탈모약 usage/side effects/dosage 효능/부작용/효과/sexual effect/두타스테라이드/프로페시아/propecia/finpecia/카피약/copy drug/hair loss

2019/02/25 - [Life/Health care] - Folic Acid 엽산 vitaminB9,비타민M usage/side effects/dosage 효과/효능/부작용/성인,소아 용법, 복용법

2019/02/28 - [Life/Health care] - Vitamin K, 비타민 K usage/side effects/dosage 효능/부작용/성인,소아 용법

2019/03/03 - [Life/Health care] - Vitamin B1, Thiamine, 비타민 B1, 티아민 usage/side effects/dosage 효능/부작용/성인,소아 용법